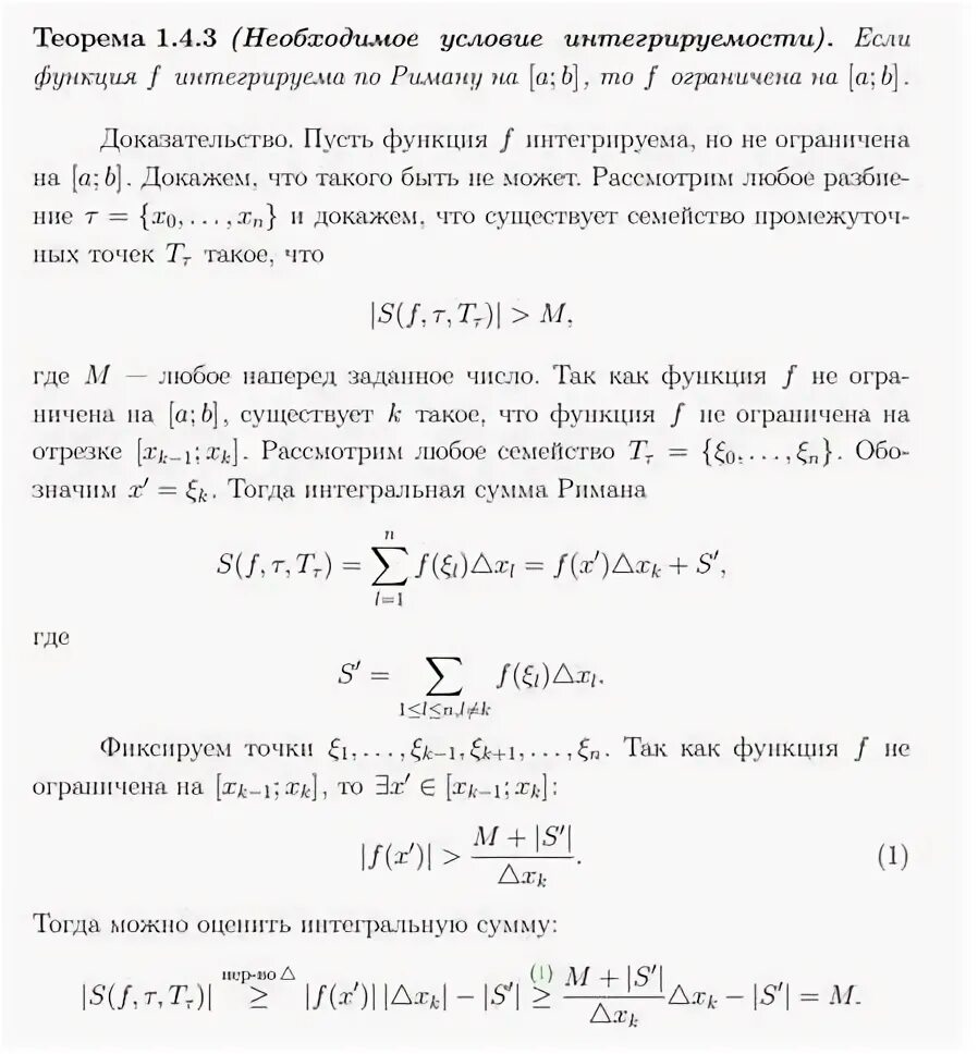
Теорема о необходимом и достаточном условии