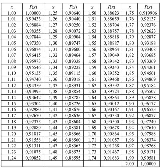
Таблица функции е x