Главная
»
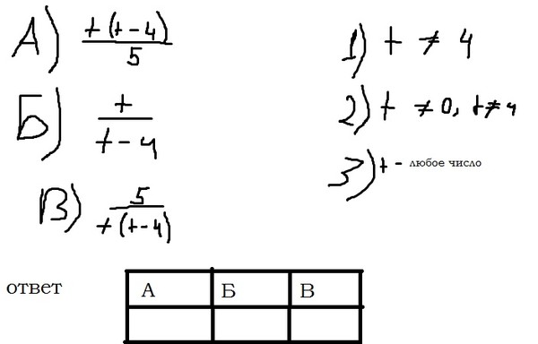
Соотнесите каждое выражение
Соотнесите каждое выражение. Соотнесите каждое выражение
« Предыдущее
35 / 82
Следующее »