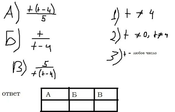
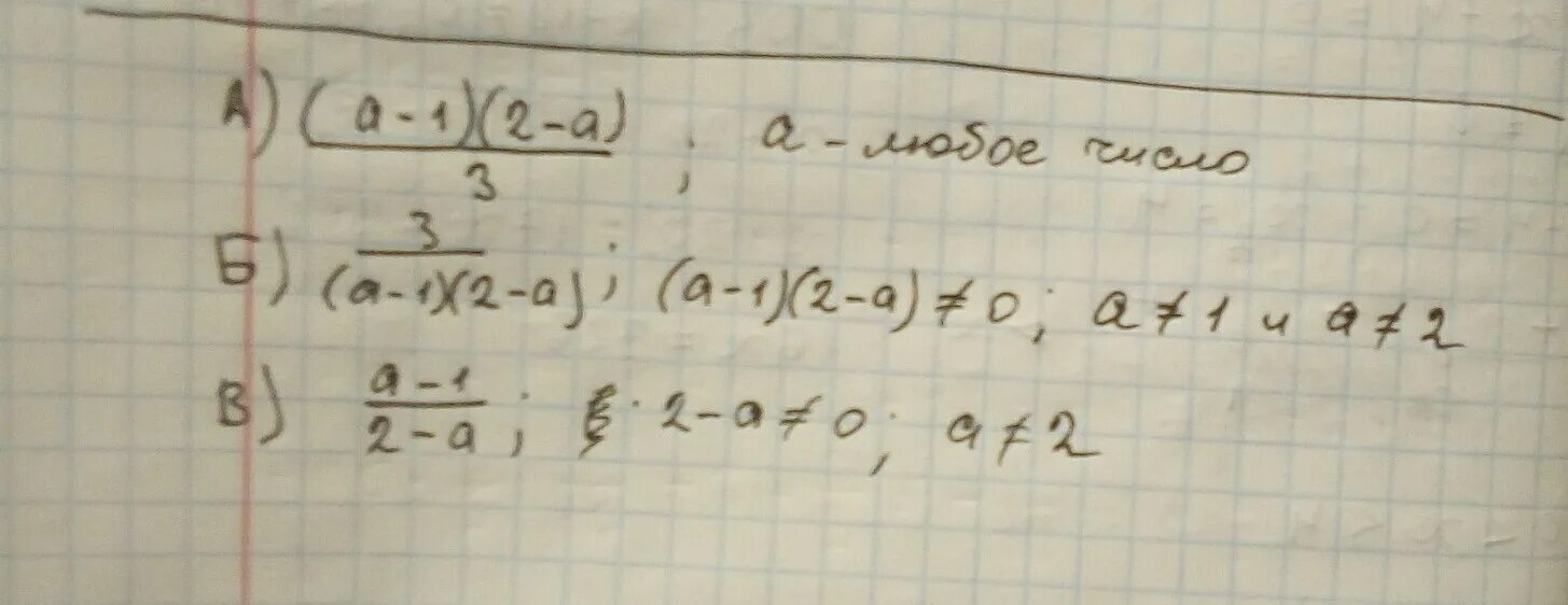
Соотнесите каждое выражение