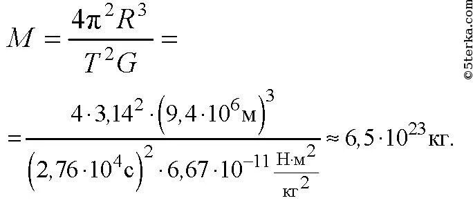
Определите массу юпитера