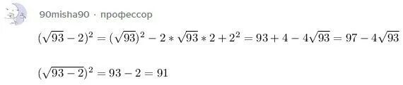
Найдите выражение корень 90 30 3