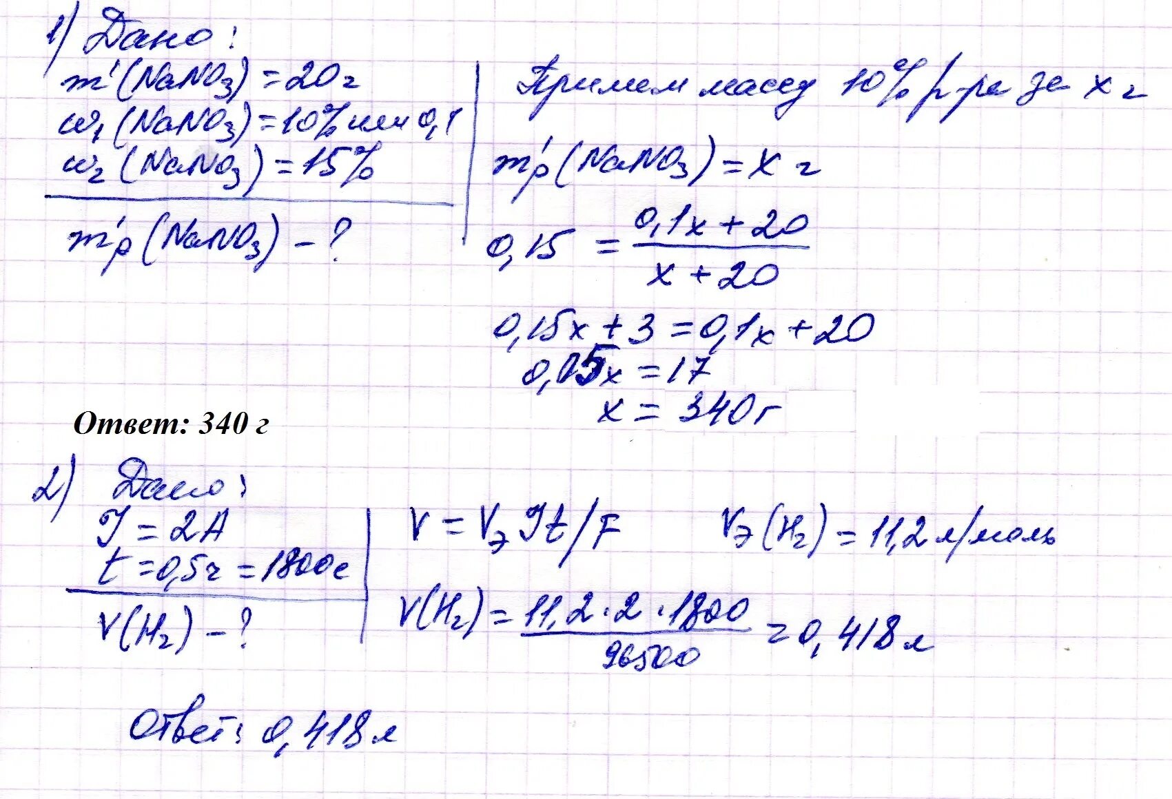
К раствору в котором находится 42 6