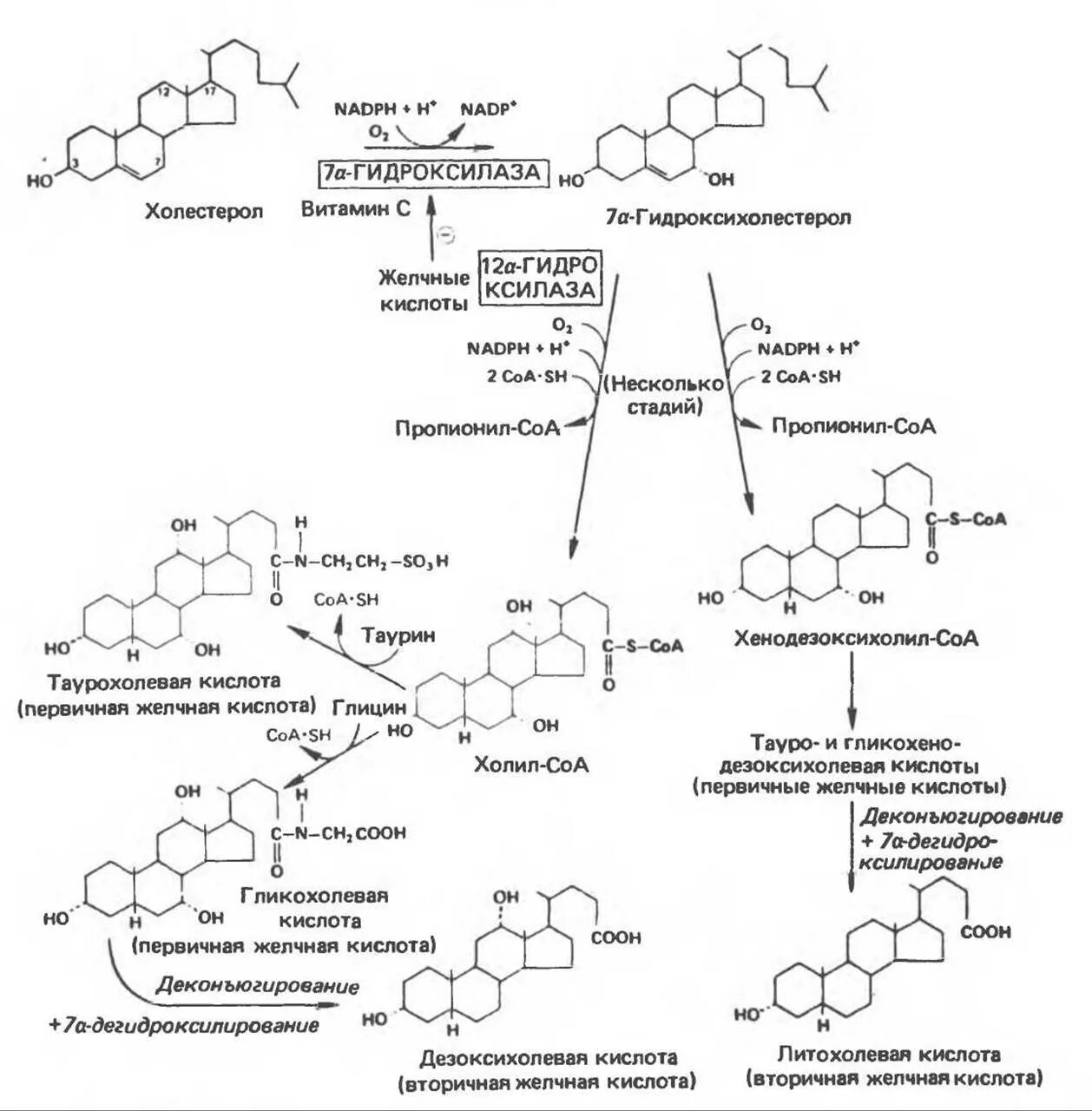
Биохимия желчный