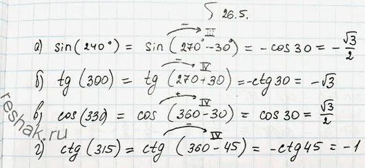
Значение выражения sin 240