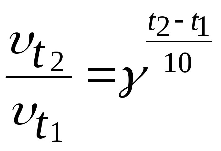
Зависимость выраженная формулой