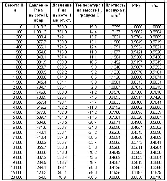
Зависимость атмосферного давления от температуры