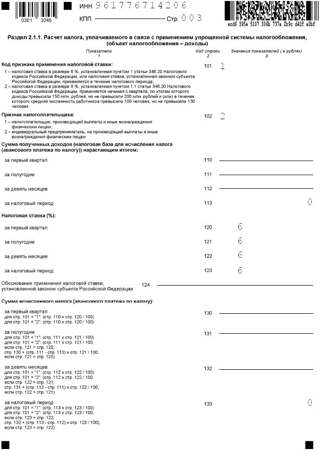
Заполнить декларацию усн доходы 2025