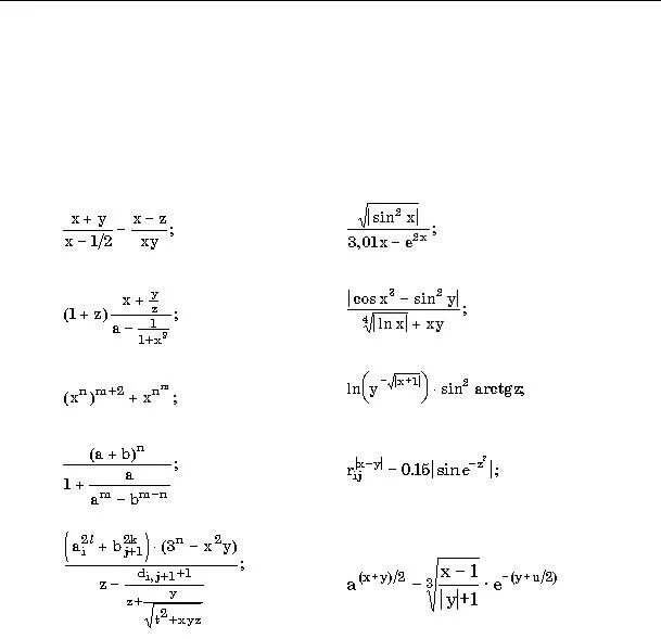
Запишите по правилам алгоритмического языка выражения