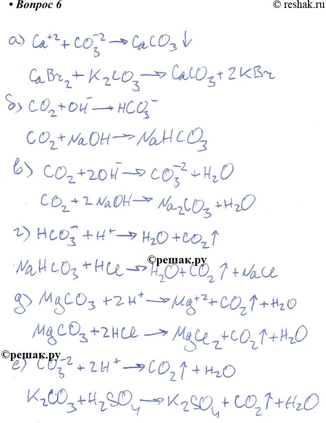
Запишите молекулярные уравнения реакций соответствующие