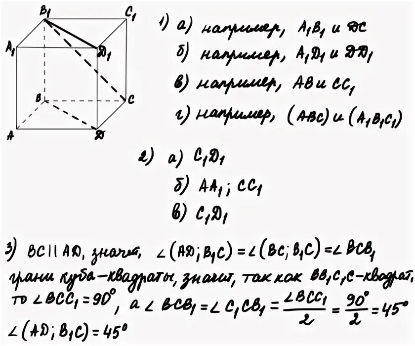
Запишите две пары пересекающихся прямых