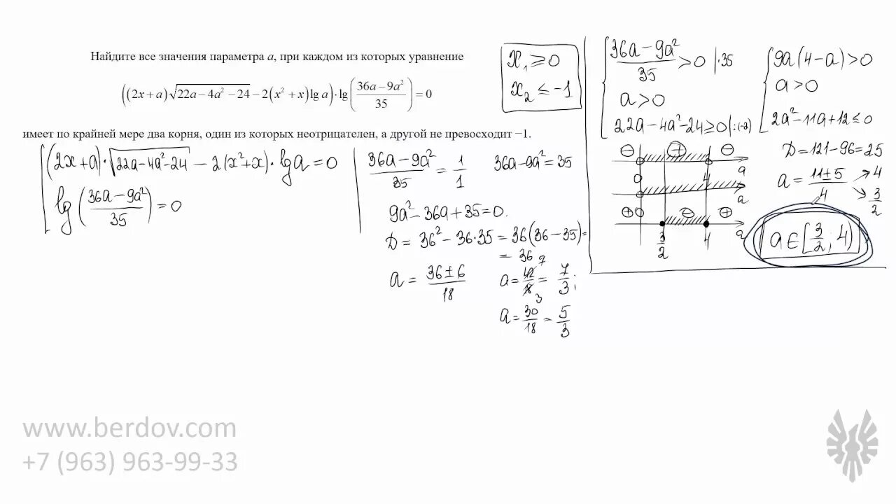
Задание параметром егэ математика