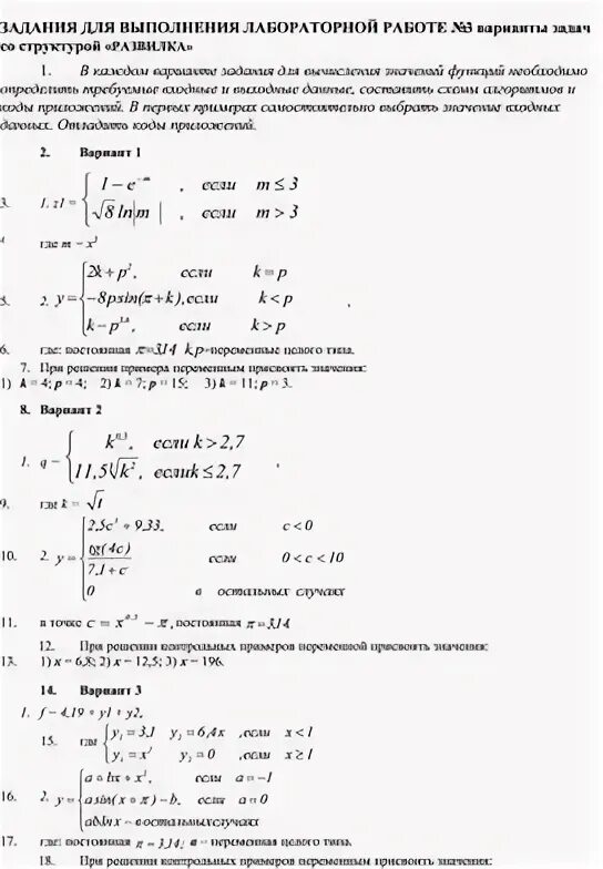
Задачи вариант 1 примерами