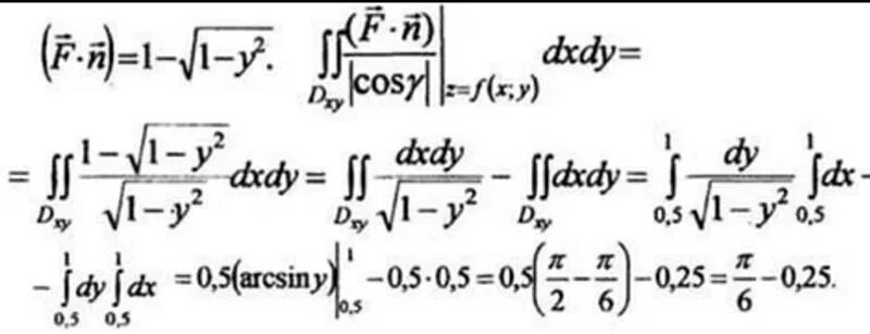
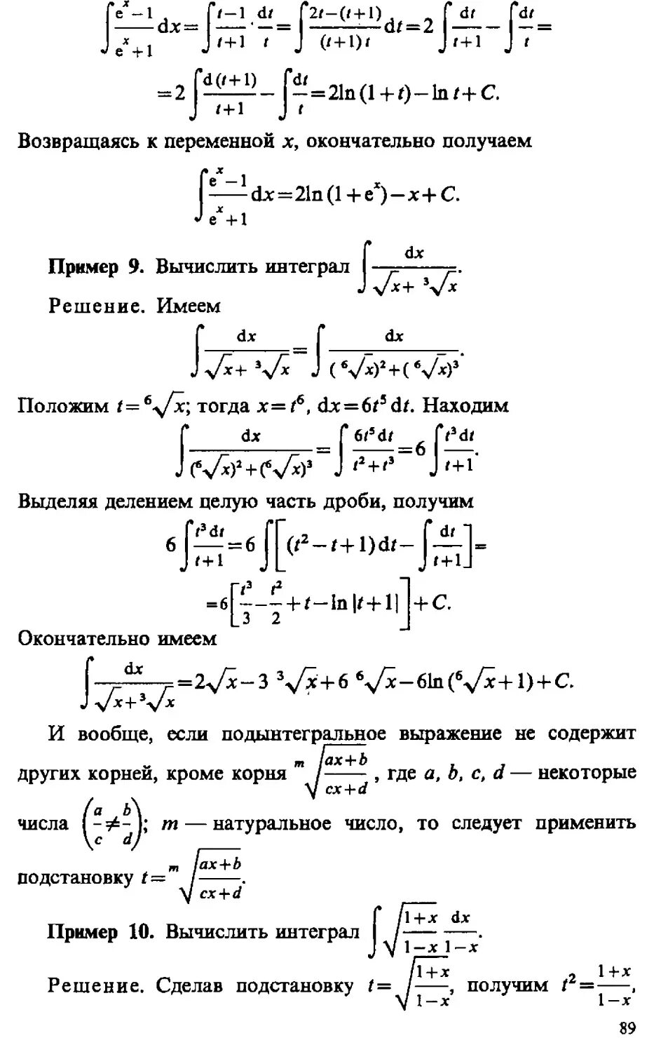
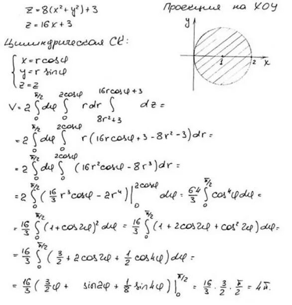
Задача высшая математика пример