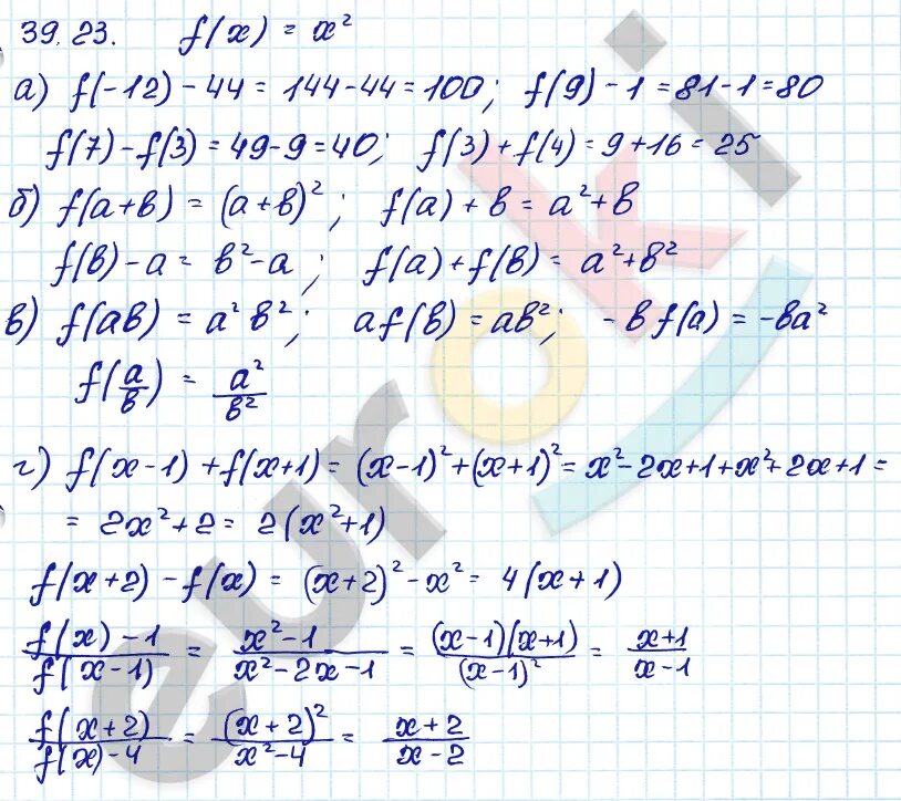
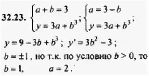
Задача 23 алгебра 7 класс