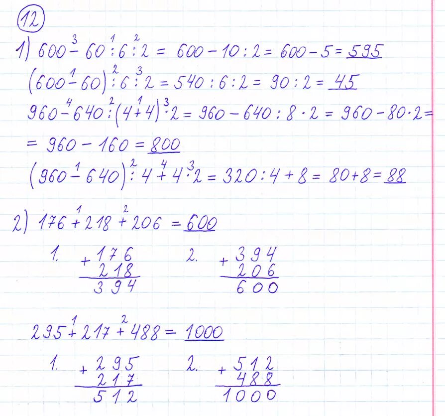
Задача 12 4