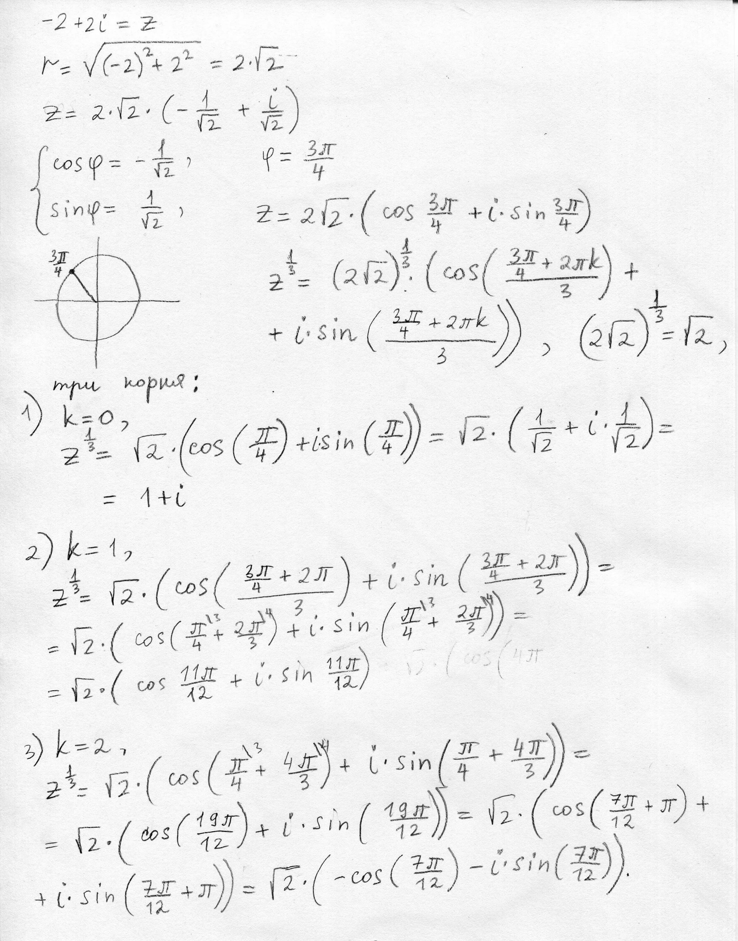
Z 3 1 0 комплексные числа