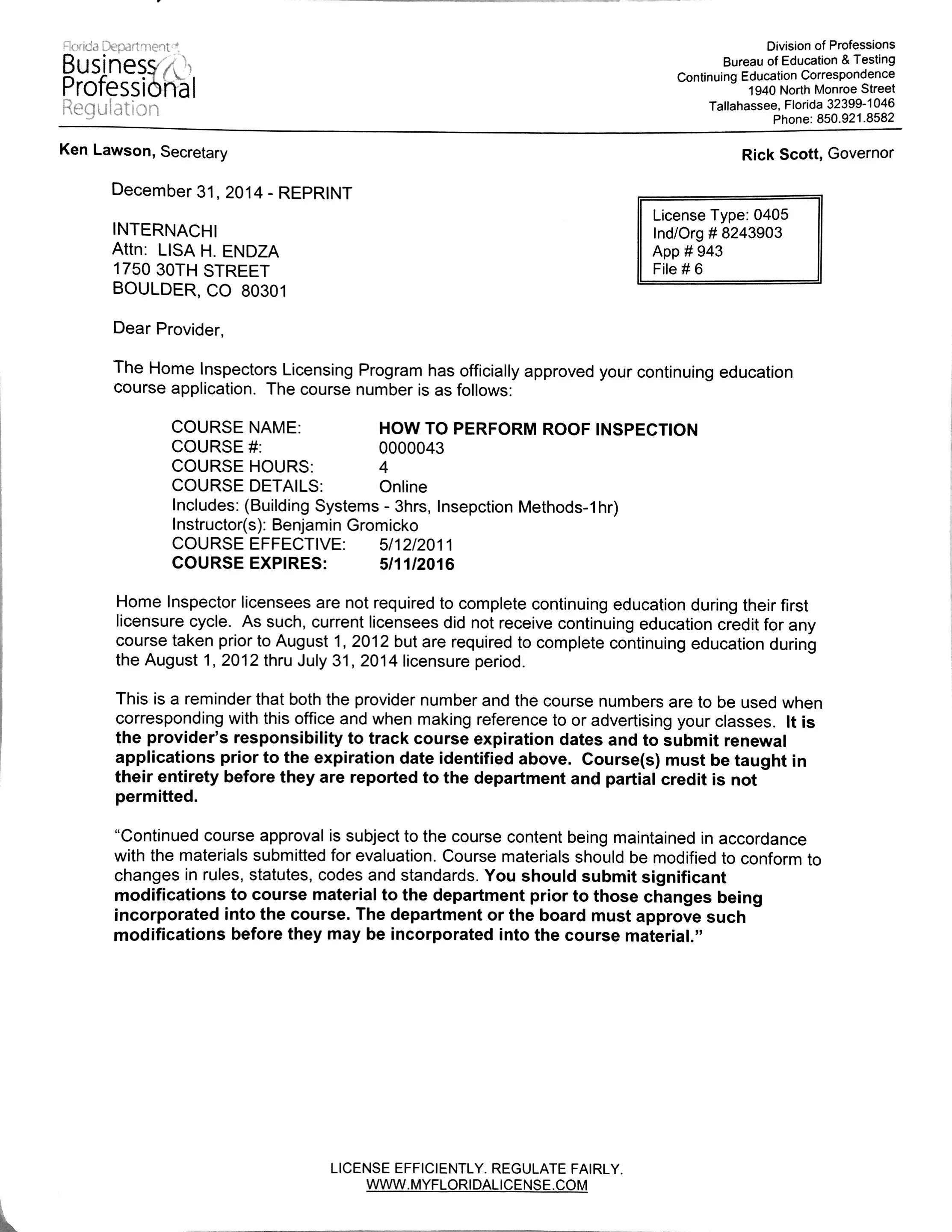
You are not permitted to continue