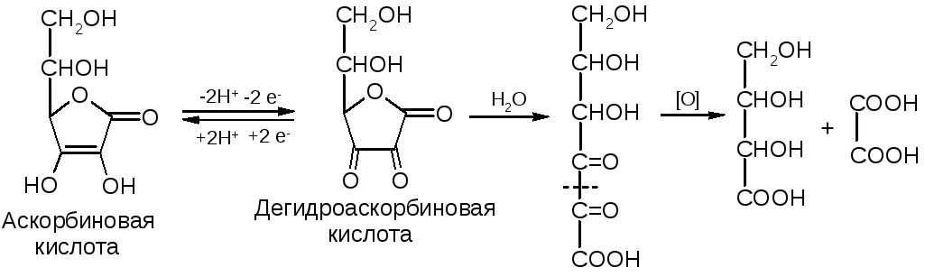
Йодометрическое определение аскорбиновой кислоты