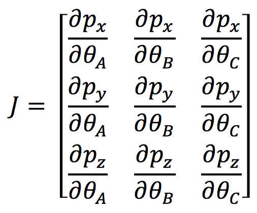
Якобиан это