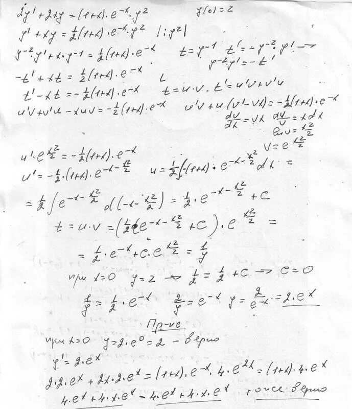
Y xy 1 x e