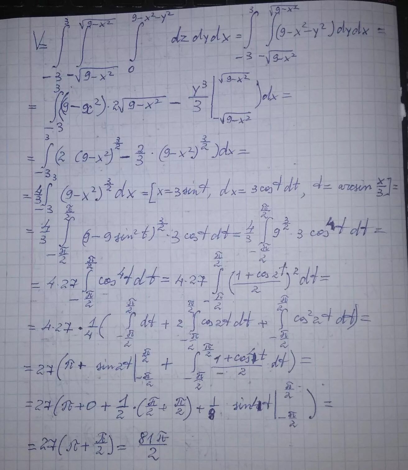
Y x x вычислите объем тела