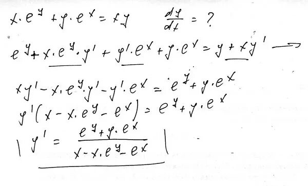
Y e 2x 4x 1