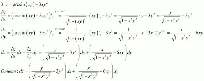
Y arcsin x 2 3