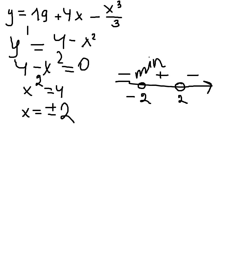
Y 19 4x x 3 3