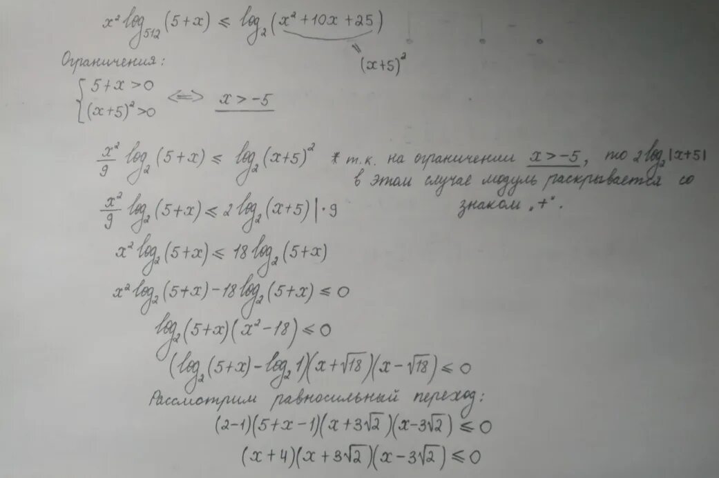
X2log512 x 7 log2 x2 14x 49