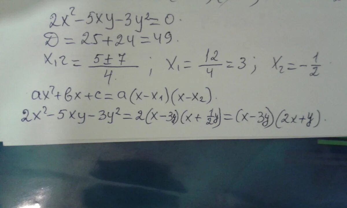
X y 3 xy y2 5