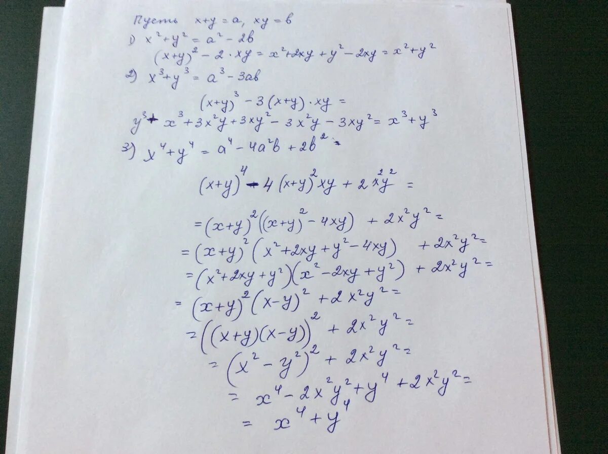
X y 0 докажите что