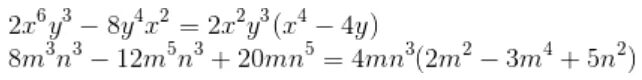
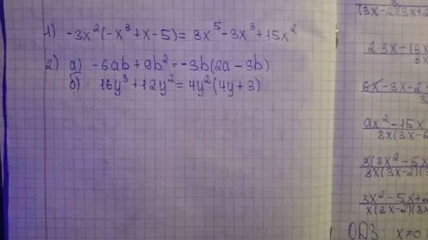
X 5 x 4 вынесите общий