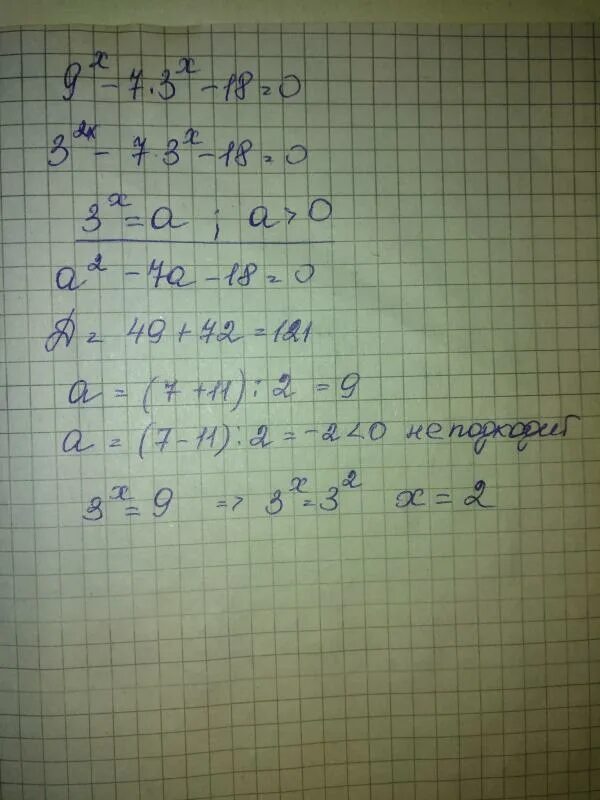
X 2x 7 20 2x 7