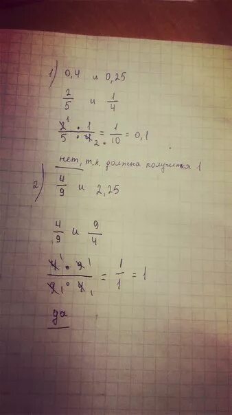
Взаимно обратное число числу 4