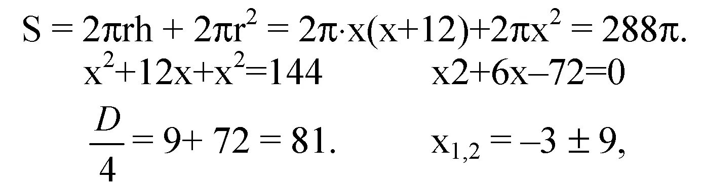
Высота цилиндра равна 12 а радиус