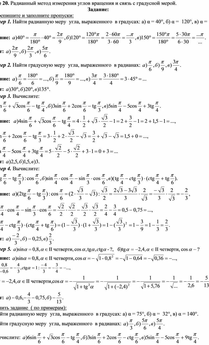
Выразить в градусной мере 0 5