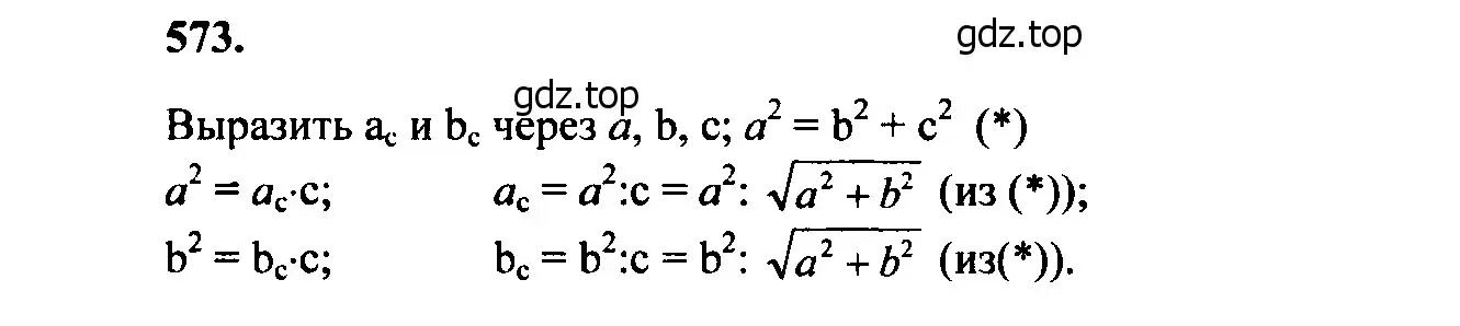
Выразить а и в через с