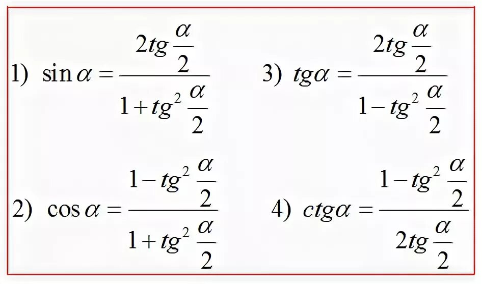
Выражение синуса