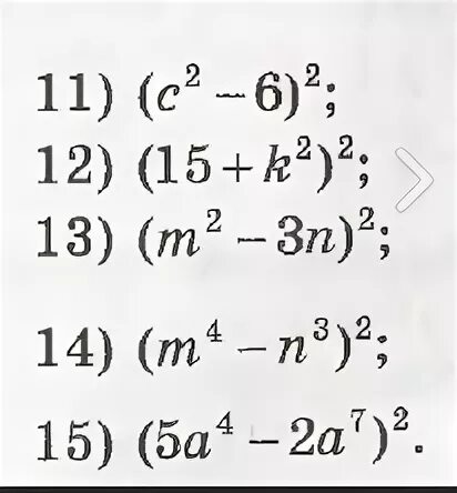
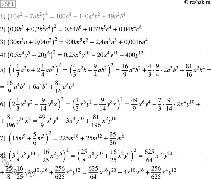
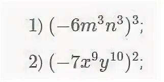
Выполните возведение в квадрат a 8