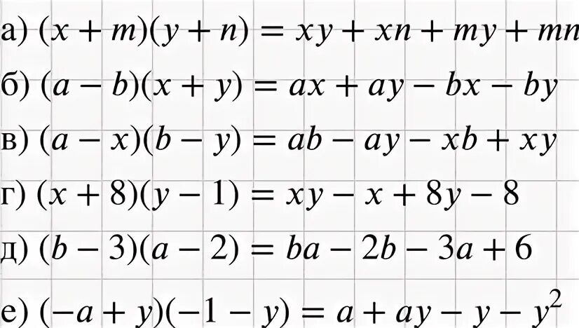
Выполните умножение а б х