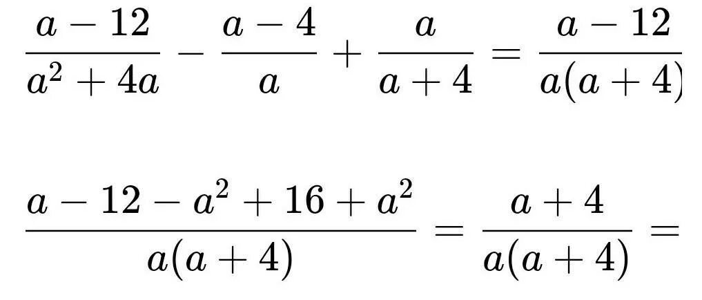
Выполнить действия a 4 2a 1