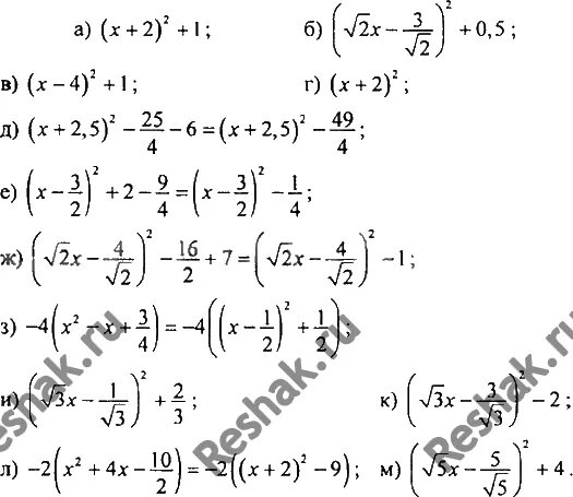
Выдели полный квадрат x2 4x 3