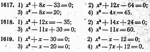
Выделение квадратного двучлена из квадратного трехчлена