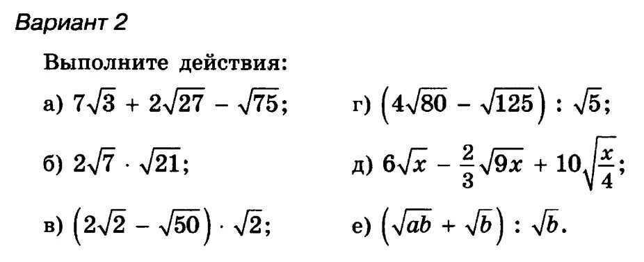
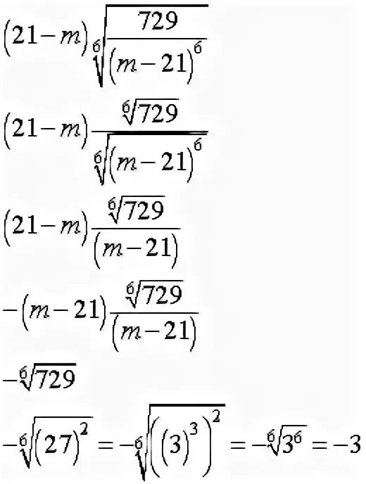
Вычитать какой корень