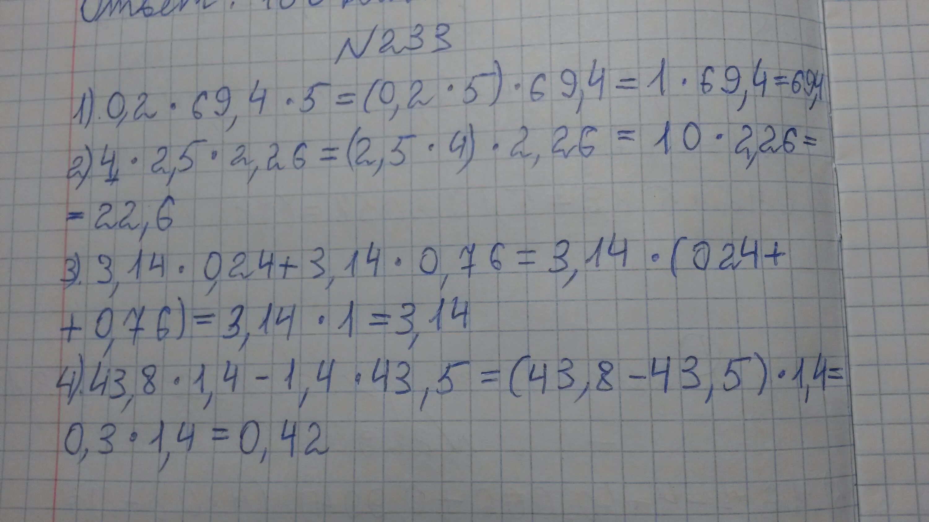
Вычислите значение выражения наиболее способом