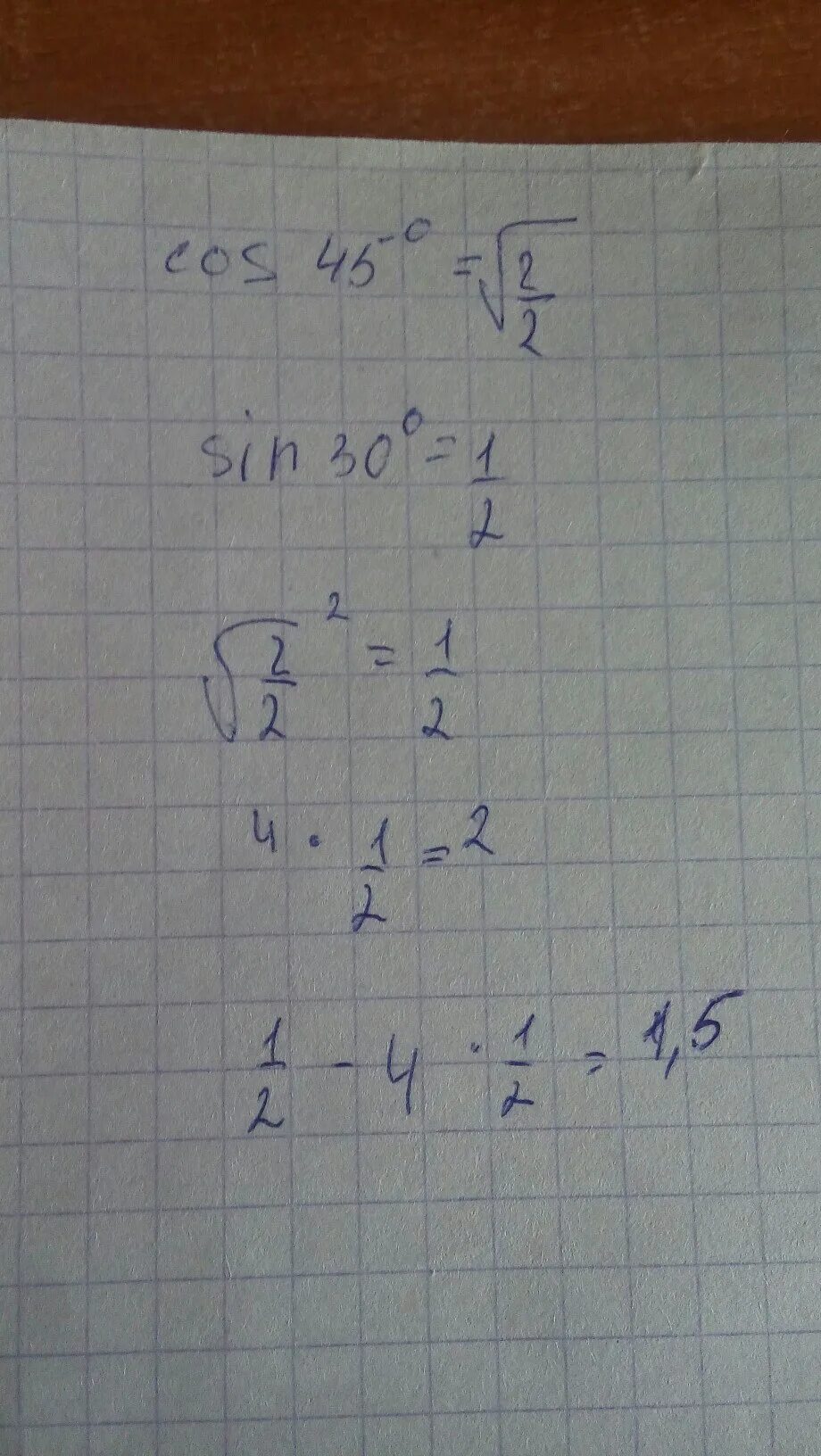
Вычислите значение выражения cos