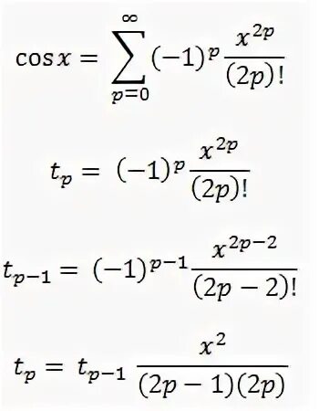
Вычислите ц