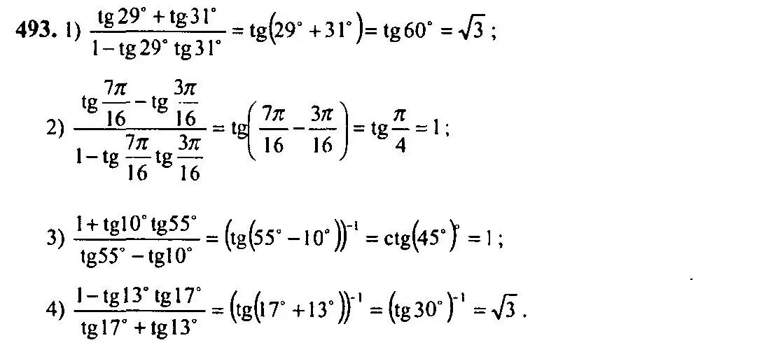
Вычислите tg n 3