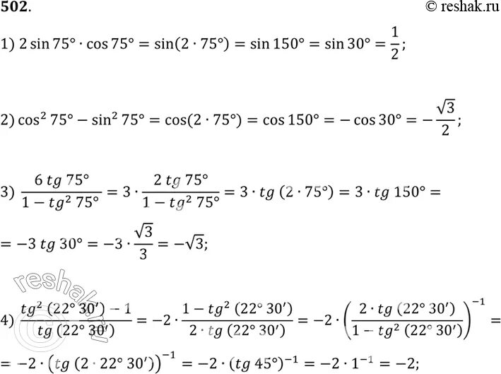
Вычислите sin 75 cos 15